
In order to watch this solution you need to have a subscription.
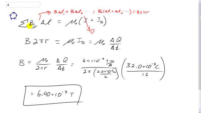
The solution manual quotes the answer to be 6.4x10^-8 T
There are two parts to this question and there is only one part completed in the video. I have to agree with the previous comment as well and say that the solution manual quotes the answer to be 6.4x10^-8 T.
The previous 2 comments are correct. This is because r in this case is not the radii of the plates, rather the radial distance of 10cm given in the problem. Also to answer the second question, a fully charged capacitor doesn't produce a magnetic field because no charges flow therefore, no magnetic field is induced.
