Giancoli 7th Edition textbook cover
Giancoli's Physics: Principles with Applications, 7th Edition
33
Astrophysics and Cosmology
Change chapter

33-1 to 33-3: Stars, Galaxies, Stellar Evolution, Distances
33-4: General Relativity, Gravity and Curved Space
33-5: Redshift, Hubble's Law
33-6 to 33-8: The Big Bang, CMB, Universe Expansion
33-9: Dark Matter, Dark Energy

Question by Giancoli, Douglas C., Physics: Principles with Applications, 7th Ed., ©2014, Reprinted by permission of Pearson Education Inc., New York.
Problem 31
Q

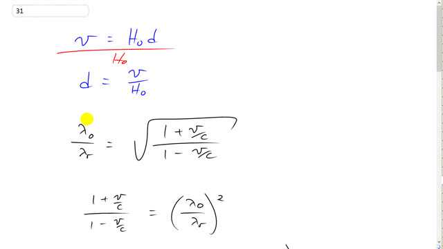
Radiotelescopes are designed to observe 21-cm waves emitted by atomic hydrogen gas. A signal from a distant radio-emitting galaxy is found to have a wavelength that is 0.10 cm longer than the normal 21-cm wavelength. Estimate the distance to this galaxy.

A
68 Mly68 \textrm{ Mly}
Giancoli 7th Edition, Chapter 33, Problem 31 solution video poster
Padlock

In order to watch this solution you need to have a subscription.

Find us on:

Facebook iconTrustpilot icon
Giancoli Answers, including solutions and videos, is copyright © 2009-2026 Shaun Dychko, Vancouver, BC, Canada. Giancoli Answers is not affiliated with the textbook publisher. Book covers, titles, and author names appear for reference purposes only and are the property of their respective owners. Giancoli Answers is your best source for the 7th and 6th edition Giancoli physics solutions.