Giancoli 7th Edition textbook cover
Giancoli's Physics: Principles with Applications, 7th Global Edition

12-1: Characteristics of Sound
12-2: Intensity of Sound; Decibels
12-3: Loudness
12-4: Sources of Sound: Strings and Air Columns
12-5: Quality of Sound, Superposition
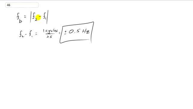
12-6: Interference; Beats
12-7: Doppler Effect
12-8: Shock Waves; Sonic Booms

Problem 44
A
±0.5 Hz\pm 0.5 \textrm{ Hz}
Giancoli 7th "Global" Edition, Chapter 12, Problem 44 solution video poster
Padlock

In order to watch this solution you need to have a subscription.

Find us on:

Facebook iconTrustpilot icon
Giancoli Answers, including solutions and videos, is copyright © 2009-2026 Shaun Dychko, Vancouver, BC, Canada. Giancoli Answers is not affiliated with the textbook publisher. Book covers, titles, and author names appear for reference purposes only and are the property of their respective owners. Giancoli Answers is your best source for the 7th and 6th edition Giancoli physics solutions.