Giancoli 7th Edition textbook cover
Giancoli's Physics: Principles with Applications, 7th Global Edition
13
Temperature and Kinetic Theory
Change chapter

13-1: Atomic Theory
13-2: Temperature and Thermometers
13-4: Thermal Expansion
13-5: Gas Laws; Absolute Temperature
13-6 and 13-7: Ideal Gas Law
13-8: Ideal Gas Law in Terms of Molecules; Avogadro's Number
13-9: Molecular Interpretation of Temperature
13-11: Real Gases; Phase Changes
13-12: Vapor Pressure and Humidity
13-13: Diffusion

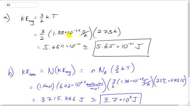
Problem 40
A
  1. 5.65×1021 J5.65 \times 10^{-21} \textrm{ J}
  2. 3.7×103 J3.7 \times 10^3 \textrm{ J}
Giancoli 7th "Global" Edition, Chapter 13, Problem 40 solution video poster
Padlock

In order to watch this solution you need to have a subscription.

Find us on:

Facebook iconTrustpilot icon
Giancoli Answers, including solutions and videos, is copyright © 2009-2026 Shaun Dychko, Vancouver, BC, Canada. Giancoli Answers is not affiliated with the textbook publisher. Book covers, titles, and author names appear for reference purposes only and are the property of their respective owners. Giancoli Answers is your best source for the 7th and 6th edition Giancoli physics solutions.