Giancoli 7th Edition textbook cover
Giancoli's Physics: Principles with Applications, 7th Global Edition

14-1: Heat as Energy Transfer
14-3 and 14-4: Specific Heat; Calorimetry
14-5: Latent Heat
14-6 to 14-8: Conduction, Convection, Radiation

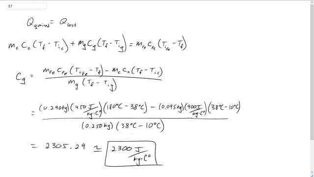
Problem 17
A
2300 J/kg C2300 \textrm{ J/kg C}^\circ
Giancoli 7th "Global" Edition, Chapter 14, Problem 17 solution video poster
Padlock

In order to watch this solution you need to have a subscription.

Find us on:

Facebook iconTrustpilot icon
Giancoli Answers, including solutions and videos, is copyright © 2009-2026 Shaun Dychko, Vancouver, BC, Canada. Giancoli Answers is not affiliated with the textbook publisher. Book covers, titles, and author names appear for reference purposes only and are the property of their respective owners. Giancoli Answers is your best source for the 7th and 6th edition Giancoli physics solutions.