Giancoli 7th Edition textbook cover
Giancoli's Physics: Principles with Applications, 7th Global Edition
18
Electric Currents
Change chapter

18-2 and 18-3: Electric Current, Resistance, Ohm's Law
18-4: Resistivity
18-5 and 18-6: Electric Power
18-7: Alternating Current
18-8: Microscopic View of Electric Current
18-10: Nerve Conduction

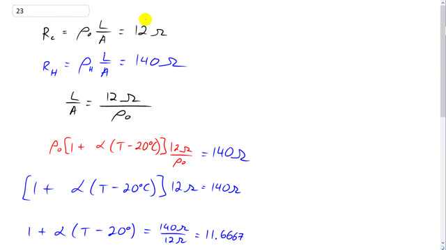
Problem 23
A
2.4×103 C2.4 \times 10^{3} \textrm{ }^\circ \textrm{C}
Giancoli 7th "Global" Edition, Chapter 18, Problem 23 solution video poster
Padlock

In order to watch this solution you need to have a subscription.

Find us on:

Facebook iconTrustpilot icon
Giancoli Answers, including solutions and videos, is copyright © 2009-2026 Shaun Dychko, Vancouver, BC, Canada. Giancoli Answers is not affiliated with the textbook publisher. Book covers, titles, and author names appear for reference purposes only and are the property of their respective owners. Giancoli Answers is your best source for the 7th and 6th edition Giancoli physics solutions.