Giancoli 7th Edition textbook cover
Giancoli's Physics: Principles with Applications, 7th Global Edition
25
Optical Instruments
Change chapter

25-1: Camera
25-2: Eye and Corrective Lenses
25-3: Magnifying Glass
25-4: Telescopes
25-5: Microscopes
25-6: Lens Aberrations
25-7 to 25-9: Resolution Limits
25-11: X-Ray Diffraction
25-12: Imaging by Tomography

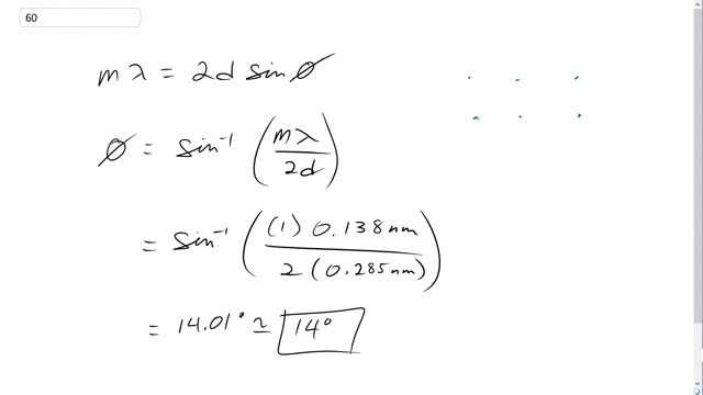
Problem 58
A
1414^\circ
Giancoli 7th "Global" Edition, Chapter 25, Problem 58 solution video poster
Padlock

In order to watch this solution you need to have a subscription.

Find us on:

Facebook iconTrustpilot icon
Giancoli Answers, including solutions and videos, is copyright © 2009-2026 Shaun Dychko, Vancouver, BC, Canada. Giancoli Answers is not affiliated with the textbook publisher. Book covers, titles, and author names appear for reference purposes only and are the property of their respective owners. Giancoli Answers is your best source for the 7th and 6th edition Giancoli physics solutions.