Giancoli 7th Edition textbook cover
Giancoli's Physics: Principles with Applications, 7th Global Edition
28
Quantum Mechanics of Atoms
Change chapter

28-2: Wave Function, Double-Slit
28-3: Uncertainty Principle
28-6 to 28-8: Quantum Numbers, Exclusion Principle
28-9: X-Rays
28-11: Lasers

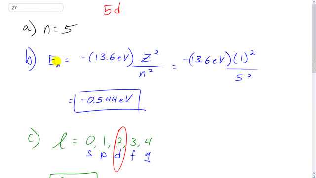
Problem 27
A
  1. 55
  2. 0.544 eV-0.544 \textrm{ eV}
  3. l=2,L=2.583×1034 J sl = 2, L = 2.583 \times 10^{-34} \textrm{ J s}
  4. ml=2,1,0,1,2m_l = -2, -1, 0,1,2
Giancoli 7th "Global" Edition, Chapter 28, Problem 27 solution video poster
Padlock

In order to watch this solution you need to have a subscription.

Find us on:

Facebook iconTrustpilot icon
Giancoli Answers, including solutions and videos, is copyright © 2009-2026 Shaun Dychko, Vancouver, BC, Canada. Giancoli Answers is not affiliated with the textbook publisher. Book covers, titles, and author names appear for reference purposes only and are the property of their respective owners. Giancoli Answers is your best source for the 7th and 6th edition Giancoli physics solutions.