Giancoli 7th Edition textbook cover
Giancoli's Physics: Principles with Applications, 7th Global Edition
33
Astrophysics and Cosmology
Change chapter

33-1 to 33-3: Stars, Galaxies, Stellar Evolution, Distances
33-4: General Relativity, Gravity and Curved Space
33-5: Redshift, Hubble's Law
33-6 to 33-8: The Big Bang, CMB, Universe Expansion
33-9: Dark Matter, Dark Energy

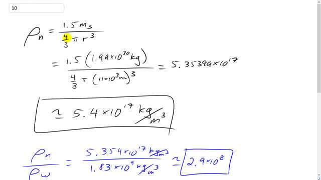
Problem 10
A
ρn=5.4×1017 kg/m3\rho_n = 5.4 \times 10^{17} \textrm{ kg/m}^3, ρnρw=2.9×108\dfrac{\rho_n}{\rho_w} = 2.9 \times 10^8, ρnρnuclear matter=1.3\dfrac{\rho_n}{\rho_{\textrm{nuclear matter}}} = 1.3
Giancoli 7th "Global" Edition, Chapter 33, Problem 10 solution video poster
Padlock

In order to watch this solution you need to have a subscription.

Find us on:

Facebook iconTrustpilot icon
Giancoli Answers, including solutions and videos, is copyright © 2009-2026 Shaun Dychko, Vancouver, BC, Canada. Giancoli Answers is not affiliated with the textbook publisher. Book covers, titles, and author names appear for reference purposes only and are the property of their respective owners. Giancoli Answers is your best source for the 7th and 6th edition Giancoli physics solutions.