Giancoli 7th Edition textbook cover
Giancoli's Physics: Principles with Applications, 7th Edition
26
Special Theory of Relativity
Change chapter

26-4 and 26-5: Time Dilation, Length Contraction
26-7: Relativistic Momentum
26-9: Mass and Energy
26-10: Relativistic Addition of Velocities

Question by Giancoli, Douglas C., Physics: Principles with Applications, 7th Ed., ©2014, Reprinted by permission of Pearson Education Inc., New York.
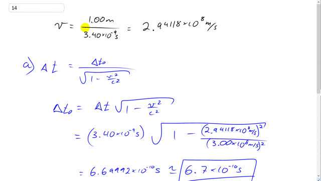
Problem 14
Q

An unstable particle produced in an accelerator experiment travels at constant velocity, covering 1.00 m in 3.40 ns in the lab frame before changing (“decaying”) into other particles. In the rest frame of the particle, determine

  1. how long it lived before decaying,
  2. how far it moved before decaying.
A
  1. 6.7×1010 s6.7 \times 10^{-10} \textrm{ s}
  2. 0.20 m0.20 \textrm{ m}
Giancoli 7th Edition, Chapter 26, Problem 14 solution video poster
Padlock

In order to watch this solution you need to have a subscription.

Find us on:

Facebook iconTrustpilot icon
Giancoli Answers, including solutions and videos, is copyright © 2009-2026 Shaun Dychko, Vancouver, BC, Canada. Giancoli Answers is not affiliated with the textbook publisher. Book covers, titles, and author names appear for reference purposes only and are the property of their respective owners. Giancoli Answers is your best source for the 7th and 6th edition Giancoli physics solutions.