Giancoli 7th Edition textbook cover
Giancoli's Physics: Principles with Applications, 7th Edition
21
Electromagnetic Induction and Faraday's Law
Change chapter

21-1 to 21-4: Faraday's Law of Induction
21-5: Generators
21-6: Back EMF and Torque
21-7: Transormers
21-10: Inductance
21-11: Magnetic Energy Storage
21-12: LR Circuit
21-13: AC Circuits and Reactance
21-14: LRC Circuits
21-15: Resonance in AC Circuits

Question by Giancoli, Douglas C., Physics: Principles with Applications, 7th Ed., ©2014, Reprinted by permission of Pearson Education Inc., New York.
Problem 45
Q

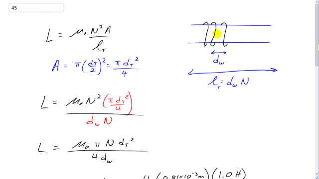
A physics professor wants to demonstrate the large size of the henry unit. On the outside of a 12-cm-diameter plastic hollow tube, she wants to wind an air-filled solenoid with self-inductance of 1.0 H using copper wire with a 0.81-mm diameter. The solenoid is to be tightly wound with each turn touching its neighbor (the wire has a thin insulating layer on its surface so the neighboring turns are not in electrical contact). How long will the plastic tube need to be and how many kilometers of copper wire will be required? What will be the resistance of this solenoid?

A
lT=46 m, lw=21 km, R=7.0×102  Ωl_T = 46 \textrm{ m, } l_w = 21 \textrm{ km, } R = 7.0 \times 10^2 \; \Omega
Giancoli 7th Edition, Chapter 21, Problem 45 solution video poster
Padlock

In order to watch this solution you need to have a subscription.

Find us on:

Facebook iconTrustpilot icon
Giancoli Answers, including solutions and videos, is copyright © 2009-2026 Shaun Dychko, Vancouver, BC, Canada. Giancoli Answers is not affiliated with the textbook publisher. Book covers, titles, and author names appear for reference purposes only and are the property of their respective owners. Giancoli Answers is your best source for the 7th and 6th edition Giancoli physics solutions.