Giancoli 7th Edition textbook cover
Giancoli's Physics: Principles with Applications, 7th Edition
31
Nuclear Energy; Effects and Uses of Radiation
Change chapter

31-1: Nuclear Reactions, Transmutation
31-2: Nuclear Fission
31-3: Nuclear Fusion
31-5: Dosimetry
31-9: NMR

Question by Giancoli, Douglas C., Physics: Principles with Applications, 7th Ed., ©2014, Reprinted by permission of Pearson Education Inc., New York.
Problem 7
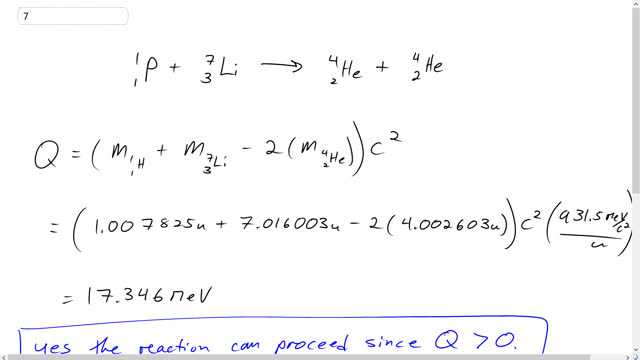
Q
  1. Can the reaction p + 37Li24He{^{7}_{3}\textrm{Li}} \rightarrow {^{4}_{2}\textrm{He}} + α\alpha occur if the incident proton has kinetic energy = 3100 keV?
  2. If so, what is the total kinetic energy of the products? If not, what kinetic energy is needed?
A
  1. Yes, the reaction can proceed since Q>0Q>0.
  2. 20.4 MeV20.4 \textrm{ MeV}
Giancoli 7th Edition, Chapter 31, Problem 7 solution video poster
Padlock

In order to watch this solution you need to have a subscription.

Find us on:

Facebook iconTrustpilot icon
Giancoli Answers, including solutions and videos, is copyright © 2009-2026 Shaun Dychko, Vancouver, BC, Canada. Giancoli Answers is not affiliated with the textbook publisher. Book covers, titles, and author names appear for reference purposes only and are the property of their respective owners. Giancoli Answers is your best source for the 7th and 6th edition Giancoli physics solutions.