Giancoli 7th Edition textbook cover
Giancoli's Physics: Principles with Applications, 7th Edition
30
Nuclear Physics and Radioactivity
Change chapter

30-1: Nuclear Properties
30-2: Binding Energy
30-3 to 30-7: Radioactive Decay
30-8 to 30-11: Half-Life, Decay Rates, Decay Series, Dating

Question by Giancoli, Douglas C., Physics: Principles with Applications, 7th Ed., ©2014, Reprinted by permission of Pearson Education Inc., New York.
Problem 21
Q
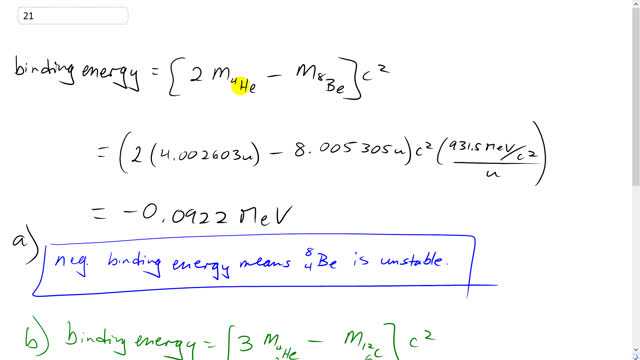
  1. Show that the nucleus 48Be{^{8}_{4}\textrm{Be}} (mass = 8.005305 u) is unstable and will decay into two α\alpha particles.
  2. Is 612C{^{12}_{6}\textrm{C}} stable against decay into three α\alpha particles? Show why or why not.
A
  1. Negative binding energy means 48Be{}^8_4Be is unstable
  2. A positive binding energy means 612C{}^{12}_6C is stable against decay to 24He{}^4_2He
Giancoli 7th Edition, Chapter 30, Problem 21 solution video poster
Padlock

In order to watch this solution you need to have a subscription.

Find us on:

Facebook iconTrustpilot icon
Giancoli Answers, including solutions and videos, is copyright © 2009-2026 Shaun Dychko, Vancouver, BC, Canada. Giancoli Answers is not affiliated with the textbook publisher. Book covers, titles, and author names appear for reference purposes only and are the property of their respective owners. Giancoli Answers is your best source for the 7th and 6th edition Giancoli physics solutions.