Giancoli 7th Edition textbook cover
Giancoli's Physics: Principles with Applications, 7th Edition
30
Nuclear Physics and Radioactivity
Change chapter

30-1: Nuclear Properties
30-2: Binding Energy
30-3 to 30-7: Radioactive Decay
30-8 to 30-11: Half-Life, Decay Rates, Decay Series, Dating

Question by Giancoli, Douglas C., Physics: Principles with Applications, 7th Ed., ©2014, Reprinted by permission of Pearson Education Inc., New York.
Problem 58
Q

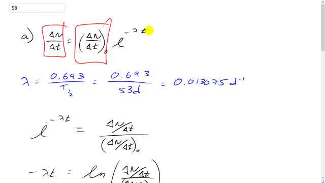
47Be{^{7}_{4}\textrm{Be}} decays with a half-life of about 53 d. It is produced in the upper atmosphere, and filters down onto the Earth’s surface. If a plant leaf is detected to have 350 decay/s of 47Be{^{7}_{4}\textrm{Be}},

  1. how long do we have to wait for the decay rate to drop to 25 per second?
  2. Estimate the initial mass of 47Be{^{7}_{4}\textrm{Be}} on the leaf.
A
  1. 2.0×102 d2.0 \times 10^2 \textrm{ d}
  2. 2.7×1014 g2.7 \times 10^{-14} \textrm{ g}
Giancoli 7th Edition, Chapter 30, Problem 58 solution video poster
Padlock

In order to watch this solution you need to have a subscription.

Find us on:

Facebook iconTrustpilot icon
Giancoli Answers, including solutions and videos, is copyright © 2009-2026 Shaun Dychko, Vancouver, BC, Canada. Giancoli Answers is not affiliated with the textbook publisher. Book covers, titles, and author names appear for reference purposes only and are the property of their respective owners. Giancoli Answers is your best source for the 7th and 6th edition Giancoli physics solutions.