Giancoli 7th Edition textbook cover
Giancoli's Physics: Principles with Applications, 7th Edition
30
Nuclear Physics and Radioactivity
Change chapter

30-1: Nuclear Properties
30-2: Binding Energy
30-3 to 30-7: Radioactive Decay
30-8 to 30-11: Half-Life, Decay Rates, Decay Series, Dating

Question by Giancoli, Douglas C., Physics: Principles with Applications, 7th Ed., ©2014, Reprinted by permission of Pearson Education Inc., New York.
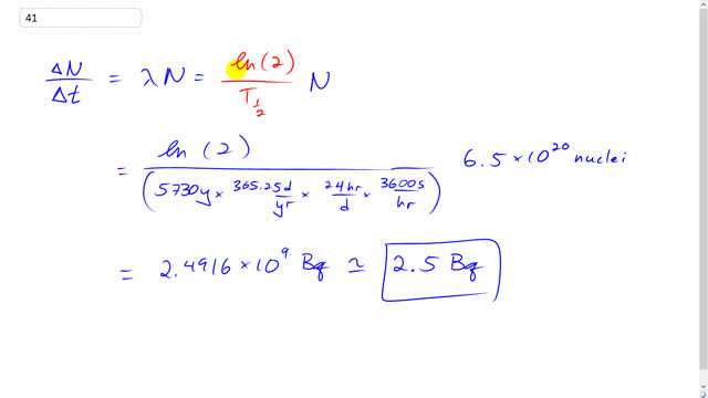
Problem 41
Q

What is the activity of a sample of 614C{^{14}_{6}\textrm{C}} that contains 6.5×10206.5 \times 10^{20} nuclei?

A
2.5 Bq2.5 \textrm{ Bq}
Giancoli 7th Edition, Chapter 30, Problem 41 solution video poster
Padlock

In order to watch this solution you need to have a subscription.

Find us on:

Facebook iconTrustpilot icon
Giancoli Answers, including solutions and videos, is copyright © 2009-2026 Shaun Dychko, Vancouver, BC, Canada. Giancoli Answers is not affiliated with the textbook publisher. Book covers, titles, and author names appear for reference purposes only and are the property of their respective owners. Giancoli Answers is your best source for the 7th and 6th edition Giancoli physics solutions.