
In order to watch this solution you need to have a subscription.
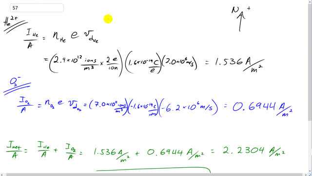
This is Giancoli Answers with Mr. Dychko. We'll take north to be the positive direction for drift velocity. So we have helium ions travelling north and we can take this formula for current and divide both sides by the area and we get the current per area is the density of free electrons due to the helium times the charge per electron times the drift velocity of the helium ions. So that's 2.4 times ten to the 12 ions per cubic meter we’re told, and then multiplying that by two electrons per ion since the helium has a charge of two plus, it… it gives up two free electrons so the helium ion itself is deficient of two electrons which is why it's charged is positive. And so the electrons must've gone somewhere and they must be free to roam around and so we have two electrons per ion and then we multiply by the charge per electron of 1.6 times ten to the minus 19 coulombs and multiply by 2.0 times ten to the six meters per second drift velocity and end up with 1.536 amps per square meter and then you have the oxygen ions going south and the charge is going to be negative and the velocity will be negative as well because its south and these negative times a negative ends up making a positive current, you know, going upwards basically. So you know… And a negative current going in one direction can be thought of as a positive current going in the other direction. So that's kind of what's happening here. So a negative current going down is like a positive current going upwards. So same formula. We have the current per square metre for oxygen is 7.0 times ten to the 11 ions per cubic meter times by 1.6 times ten to the minus 19 coulombs per ion and that's negative, and times negative 6.2 times ten to the six meters per second drift velocity which is 0.6944 Amps per meters squared positive. And so the net current per, per area is the sum of the current per area for the helium and the oxygen. So, that's 1.536 amps per square metre plus 0.6944 amps per square meter which is 2.2 amps per square meter. And that's positive and so it's north.
