Giancoli 7th Edition textbook cover
Giancoli's Physics: Principles with Applications, 7th Edition
29
Molecules and Solids
Change chapter

29-1 to 29-3: Molecular Bonds
29-4: Molecular Spectra
29-5: Bonding in Solids
29-7: Band Theory of Solids
29-8: Semiconductors and Doping
29-9: Diodes
29-10: Transistors

Question by Giancoli, Douglas C., Physics: Principles with Applications, 7th Ed., ©2014, Reprinted by permission of Pearson Education Inc., New York.
Problem 14
Q

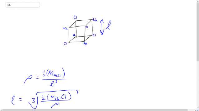
Common salt, NaCl, has a density of 2.165 g/cm32.165 \textrm{ g/cm}^3. The molecular weight of NaCl is 58.44. Estimate the distance between nearest neighbor Na and Cl ions. [Hint: Each ion can be considered to be at the corner of a cube.]

A
0.28 nm0.28 \textrm{ nm}
Giancoli 7th Edition, Chapter 29, Problem 14 solution video poster
Padlock

In order to watch this solution you need to have a subscription.

Find us on:

Facebook iconTrustpilot icon
Giancoli Answers, including solutions and videos, is copyright © 2009-2026 Shaun Dychko, Vancouver, BC, Canada. Giancoli Answers is not affiliated with the textbook publisher. Book covers, titles, and author names appear for reference purposes only and are the property of their respective owners. Giancoli Answers is your best source for the 7th and 6th edition Giancoli physics solutions.