
In order to watch this solution you need to have a subscription.
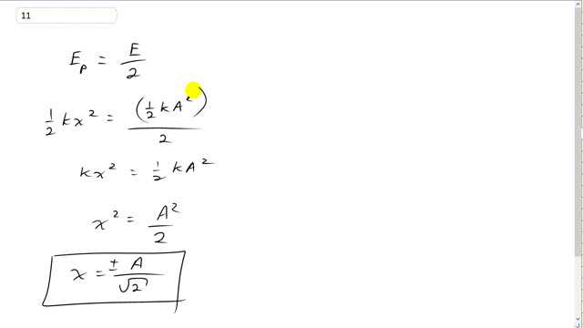
This is Giancoli Answers with Mr. Dychko. We're gonna solve for the positions where the potential energy of this simple harmonic oscillator is half of the total energy. So, the total energy is 1/2 k times the amplitude squared and after that means divided by 2. And then here's the potential energy at any position x. So, that's 1/2 kx squared equals half of the total energy. So, the 1/2 cancels there, leaving us with this 1/2 still there. So, we have kx squared equals 1/2 k A squared. Basically what I did is I multiplied both sides by 2 here by the way. So, we cancel there and cancel there. And divide both sides by k, so it cancels. And then x squared equals A squared over 2 and it's square root of both sides. And x is gonna be the positive or the negative of A over square root 2, that'll be the position where half of the energy is potential and therefore half of it is also kinetic.
