
In order to watch this solution you need to have a subscription.
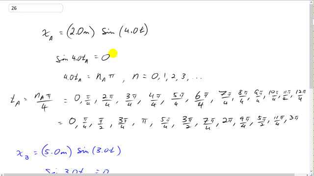
This is Giancoli Answers with Mr. Dychko. The position of this first object is 2.0 meters times sine of 4.0 t. And we can solve this for the times when it goes through the origin, the position of 0 by solving this equation. And this 2.0 you could put there too but, you know, if you divide both sides by 2.0, just disappears anyway. So, we can take the inverse sine of both sides here and we get 4.0 times tA equals 0 is what you'll get when you do inverse sine of 0. But this is kind of beyond what I'm really covering here. But when you're solving trig functions, you can always think of this unit circle and a point on this unit circle as X coordinate of cosine and Y coordinate of sine and of this angle here theta and the Y coordinate is 0 when theta is 0 or when theta is π. This is π radians here and it's 0 again when it's 2π radians and again when it's 3π radians. So, it's the Y coordinate of a point on this unit circle, radius 1 by the way, is 0 whenever the angle is some whole number times π. So, and A represents some whole number 0, 1, 2, 3, multiplied by π. And so now we can divide both sides by 4 here and hopefully the stuff here is something you've covered in your math class because that's a lot to get into in this short video here. So, we have tA is going to be some whole number times π divided by 4. So, these are all the times when the object goes through the origin and we just make a sequence here starting with n equals 0. And this works out to 0. And if n equals 1 this works out to 1π over 4. And then 2π over 4, 3π over 4, 4π over 4 and so on. And then the second row I just rewrote them with reduced to numbers, you know, 8 π over 4 is 2π and so on. And then the same story applies to position of object B. And we have the times when it goes through the origin are going to be some whole number of times π divided by 3. And you get this sequence of times when it goes to the origin. And now it's just an inspection task. There's no magic formula, that's going to get the final answer for you, instead you have to create these sequences of times when they're going to the origin and find out when you have the same time. So, you have π is the first time that matches between these 2 sequences. And the next one the match is 2π and the next one that matches is 3 π so, these are the 3 times when they will simultaneously go through the origin after being released and so that's 3.1 seconds, 6.3 seconds and 9.4 seconds.
