

In order to watch this solution you need to have a subscription.
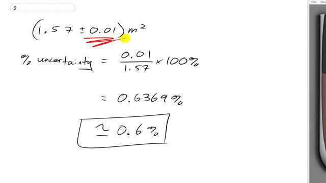
This is Giancoli Answers with Mr. Dychko. We are not really told what the uncertainty is in our measurement so we kinda have to make it up and we'll assume that it's usually if you are not told anything else, you can say that it's at least plus or minus 1 of the most precise digit. So this is precise to the hundredths place and so we'll say it's plus or minus one hundredth. And to find the percent uncertainty, we'll take that absolute uncertainty— 0.01 divided by the measurement of 1.57— times by a hundred percent and we get 0.6 percent. We have only one significant figure in our answer because this is all just approximate stuff; I mean we made up this number 0.01 it's not something that we precisely measured and it has only one significant figure and so in this calculation, in this division, we have one significant figure on top and three on the bottom and in the result of any division, you'll have as many significant figures in your answer as the number you started with that has the least significant figures and in this case only one.