
In order to watch this solution you need to have a subscription.
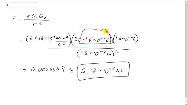
This is Giancoli Answers with Mr. Dychko. Using Coulomb's law, we take the Coulomb's constant k multiplied by one charge which is the iron nucleus, 26 times the elementary charge. And then multiply that by the charge of the electron which is 1.5 times 10 to the minus 12 meters away. So it's 26 times 1.6 times 10 to the minus 19 Coulomb's for the charge in the nucleus, and then 8.988 times 10 to the nine Newton-meter square per Coulomb squared, Coulomb's constant. And then divided by 1.5 times 10 to the minus 12 meters squared. The denominator is squared. And this gives us 2.7 times 10 to the minus 3 Newtons is the force. And that's a force of attraction. Because they're of opposite charges, the nucleus will be positive and the electron will be negative. I guess I can put a negative sign there, couldn't I? But it says a magnitude, doesn't it? Yes, so never mind. It just says what's the magnitude of the charge. That's why we don't need the negative sign there.
nice
