
In order to watch this solution you need to have a subscription.
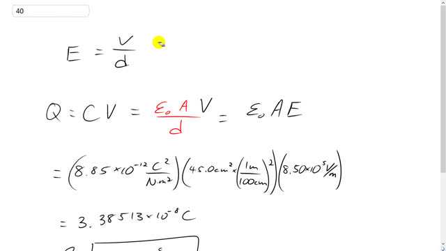
This is Giancoli Answers with Mr. Dychko. The electric field between two parallel plates is the potential difference between the voltage divided by the distance separating the two plates. And we also know that for any capacitor the charge on each plate is equal to the capacitance times the voltage and after we substitute for the formula for capacitance between two parallel plates, we have permittivity of free space times the area of each plate divided by the separation times V we can see that this V over d can be replaced by E electric field. So then we can plug in our numbers. We have permittivity of free space 8.5 times ten to the minus 12 coulomb squared per Newton meter squared times the area of each plate 45.0 centimeter squared and take care to convert that into meter squared by multiplying by one meter for every 100 centimeters squared and then times 8.5 times ten to the five volts per meter electric field and you get about 3.39 times ten to the minus eight coulombs of charging each plate.
No matter how many times I put this in my calculator, I get 1.52 x 10^-6 C every time. I think you forgot to square the area- unless we aren't supposed to do that?
Hi acw2085, thank you for the question. I'm very busy these days so I haven't been able to pick up most of your questions, but chiming in here. The area of does not need to be squared. The exponent 2 is just a reminder that the units are "centimeters squared". The exponent 2 applies only to the units, not to the "45.0".
Hope that helps, and best wishes with your course,
Shaun
